线束工程师服务平台
可以搜到:产品、技术、资料、新闻、检测、企业、视频
如何来评判电磁屏蔽的性能

上图截取自:
Anatoly Tsaliovich《Cable Shielding for Electromagnetic Compatibility》,描述的是电磁干扰源对被保护导体进行电磁干扰的物理过程示意图。大体分为以下几步:
电磁干扰源向外发散电磁波
电磁波在媒介中传播,遇到导体屏蔽层
在导体屏蔽层的外表面,电磁波会进行入射及反射,相关分量根据边界条件,解麦克斯韦方程组可得
电场分量和磁场分量,由屏蔽层外表面耦合到内表面,这个过程取决于屏蔽层的相关参数
电磁场由屏蔽层内表面穿出,与被保护导体进行耦合,产生感应电势,从而对其他相关电路形成干扰。
从上面我们可以看出,这是一个非常复杂的物理过程。如果我们从源头开始一步步计算,验证时也从源头开始一步步进行,从工程学角度,因为下述缺点而不适合企业。
复杂,对工程人员素质要求异常高
整个验证耗时,成本高
试验可重复性不高,受外界因素影响大
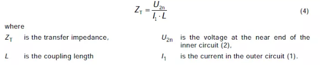
可喜的是,前人在多年的摸索与实践之后,业界提出了一个全新的理念,也就是我们现在经常提到的测量转移阻抗,基本电路图如下:

上图截自IEC标准,相关物理量的含义请见上图,具体不再赘述。
推论思路是:既然电磁干扰的最后一步是屏蔽层内表面的电磁波对被保护导体进行干扰,那么归根结底,内表面的电磁波怎么产生的?实际上它决定于屏蔽层内表面的感应电流I2,内表面的感应电流从何而来,来自于外表面的感应电流 I1,从而我们将电磁干扰,转化为感应电流 I1与被保护导体的场耦合,那么场耦合的严重程度由哪个指标来体现出来呢?那就是被保护导体的感应电压U2n 。同样的I1,如果U2n 越大,说明干扰越严重,说明屏蔽效果越差。

因此我们得出了一个关键的物理量----转移阻抗ZT
扫一扫
扫一扫