线束工程师服务平台
可以搜到:产品、技术、资料、新闻、检测、企业、视频
线束插接器用于汽车电路各连接点的连接,是汽车上的重要零件,其品质好坏直接影响到电力或信号的传输效果。
插接器在汽车中占的成本比例较小,但在汽车使用中若出现品质问题,往往产生严重的后果,且维修成本大幅增加。
因此,插接器的品质越来越得到汽车制造商及零部件供应商的重视。

端子退针是线束插接器比较常见的一种失效形式。端子退针是指插接器完成装配后,端子与护套非正常分离,从而使插接器功能丧失。
此种失效形式的形成原因一般包括3个方面:
①端子在护套中的保持力不合格
②对插干涉
③产品应用问题

端子护套·保持力不合格
Terminal sheaths & Failed holding force
端子在护套中的保持力:沿轴向使端子与护套分离所需的力。
为避免出现端子退针的现象,插接器的性能试验标准对端子在护套中的保持力做了严格规定:
①规格不大于2.8的插接器保持力大于40N
②规格大于2.8的插接器保持力大于60N
实践中较多端子退针现象的产生都是因为保持力不满足规定。一般来说,端子在护套中的保持力不合格的原因有:结构设计问题及材料选择问题。

1.结构设计问题
结构设计问题主要是指:端子和护套的挂接结构设计。这种挂接结构一般是一种弹性结构,分为护套上采用弹性结构和端子上采用弹性结构。
01 护套上采用弹性结构

护套上采用弹性结构:将端子和护套装配所需要的弹性结构设计在护套上,在端子和护套装配过程中,通过护套弹舌(设计在护套上的弹性结构)受力变形,实现端子和护套的装配。
在端子和护套装配到位后,护套弹舌由于受力解除而恢复至原始状态。该护套弹舌和设计在端子上的挂台结构的配合,保证护套对端子的有效定位。

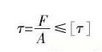
护套弹舌的剪切强度决定了端子在护套中的保持力。剪应力计算公式如下:

τ:材料所受的剪应力
F:材料剪切方向受力
A:剪切面积
[τ]:材料的许用屈服剪应力
由公式可知:材料剪切方向承受的最大力与材料的剪切面积成正比,与材料的许用剪应力成正比。

护套弹舌设计时,当材料选定后,材料的许用屈服剪应力即固定不变,要保证产品满足端子在护套中的保持力(剪切方向受力)要求,需保证护套弹舌的剪切面积满足要求值。
实践中由于考虑到端子和护套的设计间隙,因此剪切面积应按极限恶劣情况计算。
端子和护套的设计间隙应能保证在极限恶劣情况下,计算出的剪切面积所能承受的屈服剪应力大于要求的端子在护套中的保持力。
02 端子上采用弹性结构

端子上采用弹性结构:将端子和护套装配所需要的弹性结构设计在端子上,在端子和护套装配过程中,通过端子弹舌(设计在端子上的弹性结构)受力变形,实现端子和护套的装配。
在端子和护套装配到位后,端子弹舌由于受力解除而恢复为原始状态。该端子弹舌和设计在护套上的挂台结构的配合,保证护套对端子的有效定位。
端子弹舌的屈服强度决定了端子在护套中的保持力。

由公式可知:端子弹舌设计时,当材料选定后,材料的许用剪应力即固定不变,要保证产品满足端子在护套中的保持力(剪切方向受力)要求,需保证端子弹舌的剪切面积满足要求值。
实践中由于考虑到端子和护套的设计间隙,除考虑端子弹舌的剪切面积(材料厚度和弹舌宽度)外,应保证极限恶劣情况下,端子弹舌与设计在护套上的挂台结构具有完整的配合。

2.材料选择问题
插接器护套常用材料有:聚酰胺(俗称尼龙)、聚对苯二甲酸丁二醇酯(PBT)、ABS等。
对于护套弹舌结构,一般主要考虑材料的韧性,根据满足韧性要求的材料的许用屈服剪应力设计弹舌结构的尺寸。
需要强调的是,材料的许用屈服剪应力应按材料经受插接器可能存在的高温老化、温度-湿度循环、化学液体腐蚀等试验后的允许值计算。

如果按试验后的许用屈服剪应力值设计弹舌结构无法满足要求,则应考虑更换材料或使用二次锁结构(图2)来解决。
当插接器初始保持力正常,试验后保持力不合格出现退针时,一般是因为按使用材料的初始许用屈服剪应力设计了弹舌结构造成的。
02 端子材料选择

插接器端子常用材料有:紫铜、黄铜、青铜。根据它们的硬度情况又可分为软、半硬、硬三种状态。
这三种材料中,紫铜应用较少,一般用于接地孔式或叉式接头等。黄铜和青铜应用较多。黄铜的导电性能比青铜好,而青铜的硬度和弹性比黄铜好。
当使用端子弹舌结构时,一般应使用青铜。使用黄铜材料经常会出现保持力不足的现象。
扫一扫
扫一扫