线束工程师服务平台
可以搜到:产品、技术、资料、新闻、检测、企业、视频
汽车上的导线可分为蓄电池线、高压导线(新能源汽车用,耐压等级DC大于60V小于600V),同轴电缆、低压导线(耐压等级DC
1.首先从下面导线选型的路线图,了解导线选型应该考虑的因素:
①导线的温度等级
②绝缘层厚度
③导体材料
④绝缘层材质
⑤导体结构
⑥导线截面积

2.导线的温度等级选择主要考虑两个因素:
①导线使用的外部环境温度
Ⅰ、机舱域:不包括发动机,距离发动机排气管300mm以上,温度范围:Minimum=-40℃,continuous=100℃, Excursion=110℃
Ⅱ、发动机域:位于发动机上,距离排气管在300mm内,温度范围:
Minimum=-40℃,continuous=120℃, Excursion=130℃
Ⅲ、高温区域:距离发动机排气管小于150mm,温度范围:
Minimum=-40℃,continuous=130℃, Excursion=150℃
Ⅳ、座舱和底盘区域:驾驶舱和底盘距离排气管150mm以上区域,温度范围:
Minimum=-40℃,continuous=80℃, Excursion=100℃
②导线因承载电流所引起的温升
根据ISO导线温度等级的划分,目前新车型通常将位于座舱和机舱的导线温度等级定位Class B,将发动机线的温度等级定义为Class C,对于靠近排气管区域的导线通常采用隔热铝箔胶带的防护,以杜绝发动机排气的热辐射。

3.绝缘层厚度的选择,通常从耐磨性、柔韧性以及耐压能力等方面考虑:
①厚壁导线:通常用在底盘如轮速传感器等需要高耐磨性的区域,同时要考虑弯曲半径。
②薄壁导线:通常用于整车所有区域的导线(除去底盘部分)。
③超薄壁导线:目前基本很少使用。
4.导体材质选型:
①纯铜(退火):车用导线的标准导体材质。
②铜合金:一般应用在0.13mm2,为了增加的拉伸强度,压接性能。
③镀锡铜:通常应用在Pigtail端。
④镀银铜:通常应用在高温场合(200.C+).
⑤镀镍铜:通常应用在高温区域(O2传感器)225.C+。
⑥铝:通常应用在蓄电池线,减重降成本,但是铝导体的导电性不如铜,同时在空气中容易发生腐蚀。
5.导体结构的选择
①导线截面积在0.13mm2——〉2.0mm2 内的,通常采用Type A导体,便于剥线和端子压接。
②导体截面积〉2.5mm2, Type A 和Type B 都有用。
③对于柔韧性要求比较高的地方,例如门铰链位置,转向管住,电调座椅等,通常采用TypeC。

6.导线截面积的选择:
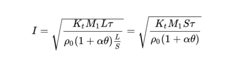
①下面有两个理论计算公式,表示了负载电流、导线参数与温升的关系
公式一:

Kt:叫做综合散热系数,它与导线所处的环境有关,与导线材料有关,与导线外部包覆的绝缘材料材质、厚度和颜色都有关;
г:是温升,M1截面周长,S截面面积;
ρο:导线在零摄氏度时的电阻率;
导线的截面积是S;
导线的电阻温度系数是α;
导线的实际温度值是θ,θ的单位是摄氏度℃。
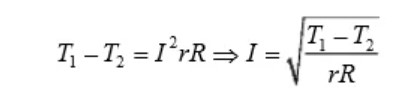
公式二:

T1:导线允许的工作温度;
T2:为环境温度;
R:为单位长度导线的热阻;
r :为单位导线长度的电阻;
②在导线温度等级、环境温度以及负载电流确定的可利用上述公式初步计算导体的截面积。但在实际工程设计过程中,一般通过查表即可选择相应的导线截面积。

③在初步选择完保险和导线后(保险选型可参阅我写的另一篇文章),需要进行保险和导线的匹配校核,即导线的发烟特性曲线位于保险的熔断特性曲线之上并且无交叉,保证导线在任意发烟电流下的发烟时间大于保险丝的熔断时间。此过程需借助供应商开发的匹配软件来完成,在没有软件的情况下,也可以选取两个点,选取负载电流为保险额定容量的135%、200%的点,查询保险和导线厂家提供的保险熔断曲线和导线发烟曲线,保证在这两个点导线的发烟时间大于保险的熔断时间。

④完成保险和导线的匹配校核后,对于有线阻、压降要求的用电器需要进行线阻和压降的计算,导体的线阻可通过导体单位长度的导体电阻(可查阅导线参数表)及导线长度计算,有线阻和负载电流可计算导线压降。

⑤短路电流校核。
根据导线长度计算导线的电阻再加上端子压接的阻抗、接触阻抗、Splice的阻抗及为回路的总阻抗,在由此计算短路电流,为确保保险丝在短路情况下可以完全断开,一般短路电流的值应大于保险丝额定电流的350%。
⑥更为简单的方法,可根据负载电流,查询企业标准,选取对应的保险、导线类型。

总结
上述只是导线选型的一般方法,导线选型考虑的其他因素还包括端子压接要求,共保险负载电源线径一致要求等。另外,整车电源系统在设计完成后,要进行各项电性能的测试,包括单负载、全负载、135%过载、200%过载、短路测试等,验证保险和导线设计的合理性,只有通过测试的设计才算是合理的设计。
扫一扫
扫一扫